Are you preparing to take your PA Permit test and looking for a study guide that you can easily print out? Look no further! We’ve got you covered with a printable PA Permit test study guide that will help you ace your exam with confidence.
Studying for your permit test can be overwhelming, but with our printable study guide, you can break down the information into manageable sections. Whether you’re a visual learner or prefer to study on paper, our guide is designed to cater to your needs.
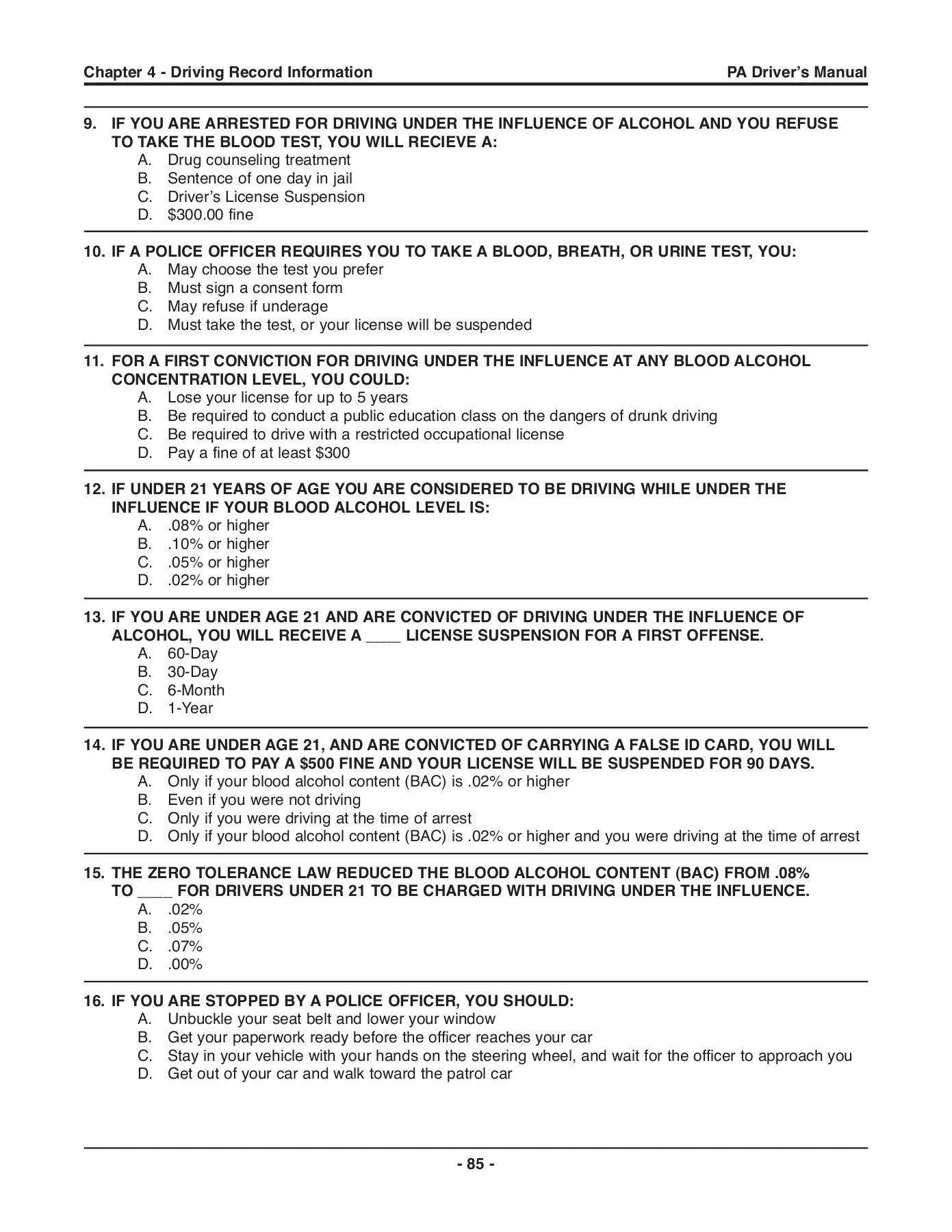
Pa Permit Test Study Guide Printable
Pa Permit Test Study Guide Printable
Our printable PA Permit test study guide covers all the essential topics you need to know to pass your exam. From road signs to traffic laws, our guide provides a comprehensive overview of the material you’ll encounter on the test.
By using our printable study guide, you can study at your own pace and review the information as many times as needed. This flexibility allows you to build your confidence and knowledge, ensuring that you’re fully prepared when test day arrives.
Don’t let the PA Permit test intimidate you! With our printable study guide in hand, you’ll be equipped with the tools you need to succeed. Take the stress out of studying and approach your exam with confidence knowing that you’ve put in the time and effort to prepare.
Download our printable PA Permit test study guide today and take the first step towards earning your driver’s permit. With our user-friendly guide, you’ll be on your way to hitting the road in no time. Good luck!
PA Driver s License Practice Test Questions And Answers 100 Solved PA Driver s License Stuvia US
PA Permit Practice Test Questions And Answers 100 Verified 2025 2026 Exams Law Docsity
	

